اصل کار مجازی، Principle of Virtual Work

اصل کار مجازی، Principle of Virtual Work

اصل کار مجازی، Principle of Virtual Work

در تحلیل یک سازه، سه شرط پایه که روابط بنیادی نامیده می‌شوند، باید برآورد گردد که عبارتند از:

  • سازه و هر یک از اجزای آن باید در حال تعادل باشد. ( تعادل استاتیکی و تعادیل دینامیکی)
  • تغییر شکل سازه باید پیوسته و یکنواخت باشد. ( شرایط سازگاری)
  •  رابطه‌ی مشخصه مصالح (روابط تنش و کرنش) باید اقناع شود.

در مورد بعضی از اعضا، رابطه‌سازی روش سختی با استفاده از روابط بنیادی فوق‌العاده مشکل است ( اعضا با مقطع متغیر و اعضای خمیده مثال‌هایی از این مورد هستند)؛ برای این نوع اعضا می‌توان از روش‌های انرژی بهره‌مند شد.

اصل کار مجازی یکی از روش‌های انرژی است.

اصول انرژی را می‌توان به دو دسته‌ی وسیع تقسیم نمود، کار مجازی و کار مجازی مکمل؛ اولی از اصول تعادل و دومی از اصول سازگاری برای حصول روابط بنیادین استفاده می‌نماید.

کار مجازی وقتی به وجود می‌آید که سیستم به مقدار کوچکی از وضعیت تعادل انحراف حاصل نماید. در این فرایند، به جسم تغییر مکان کوچکی که از لحاظ هندسی ممکن باشد اعمال می‌شود، لیکن این تغییر شکل، لزوما تناسبی با تغییر شکل واقعی ندارد.

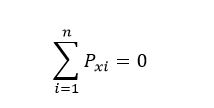
فرض نمایید که نقطه‌ای مادی تحت تغییر مکان مجازی کوچک uδ در امتداد x قرار گیرد (از لحاظ هندسی باید امکان این تغییر مکان مجازی باشد، اما لزومی ندارد حقیق باشد) کار مجازی wδ به علت مولفه‌های x وارد بر نقطه‌ی مادی pxi که تحت تغییر مکان uδ قرا می‌گیرد برابر خواهد شد با:

 از طرفی تعادل نقطه مادی ایجاب می‌نماید:

بنابراین کار مجازی 0=wδ خواهد شد.

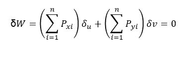
اگر نقطه‌ی مادی ابتدا تحت تغییر مکان مجازی افقی uδ و سپس تحت تغییر مکان مجازی قائم vδ در امتداد  y قرار گیرد، کار مجازی کل برابر خواهد شد:

 

 این نتیجه همان اصل کار مجازی می‌باشد که به صورت زیر بیان می‌شود:

اگر یک نقطه‌ی مادی تحت نیروهای وارده در حال تعادل بوده و تحت یک تغییر مکان مجازی قرار گیرد، کار مجازی انجام شده به علت نیروهای موثر بر آن مساوی صفر است.

عکس بیان فوق را می‌توان با بررسی رفتار یک سیستم تحت تغییر مکان مجازی ∆δ، ثابت نمود.

 

برای تغییر مکان مجازی داریم:

 چون تغییر مکان مجازی ∆δ دلخواه است، مولفه‌های آن یعنی uδ و vδ باید مستقل باشند. بنابراین برای اینکه wδ مساوی صفر شود؛ باید ضرایب uδ و vδ صفر باشند. بنابر این می‌توان عکس کار مجازی را به صورت زیر بیان نمود:

یک نقطه‌ی مادی که تحت یک سیستم نقطه‌ی مادی قرار دارد، وقتی در حال تعادل است که کار مجازی نیرو  برای هر تغییر مکان مجازی مستقل، مساوی صفر باشد.

اصول کار مجازی برای هر نقطه مادی و همچنین یک جسم صلب صادق است.

مرجع: تحلیل سازه ها، مولفین: اخوان لیل آبادی، شاپور طاحونی

محصول

تحلیل سازه ها (ویرایش چهارم بر اساس SI)
قیمت: 55,000 تومان
55,000 تومان
کاتالوگ: 
عمران
سازه
فولاد و سازه های فولادی
تئوری و مسائل تحلیل سازه ها
قیمت: 50,000 تومان
50,000 تومان
نا موجود
کاتالوگ: 
عمران
سازه
فولاد و سازه های فولادی
تحلیل سازه ها (ویرایش جدید)
قیمت: 348,000 تومان
348,000 تومان
نا موجود
کاتالوگ: 
کتاب
عمران
ورود به حرفه (نظام مهندسی)
سازه
سری عمران
سایر
کمک آموزشی
فیلم آموزش روش كار مجازى در تحليل سازه ها
فروشگاه
temp
آموزشگاه
محتواهای علمی دوره های کارشناسی ارشد
قیمت: 112,500 تومان
112,500 تومان
کاتالوگ: 
فیلم های آموزشی
عمران
کارشناسی ارشد
بارگذاری سازه ها
موسسه آموزشی 808
دانشگاهی (رفرنس)
کمک آموزشی
تحلیل سازه ها جلد 2 (نسل جدید)
قیمت: 0 تومان
34,000 تومان
کاتالوگ: 
عمران
تحلیل سازه ها (نسل جدید-نظام مهندسی)
قیمت: 0 تومان
19,000 تومان
کاتالوگ: 
عمران

پرسش و پاسخ

عکس کاربر
1 پاسخ
نیاز به مدرس خصوصی برای بحث اصول کار مجازی در حالت دینامیکی
سلام مدیریت محترم سایت من به یک مدرس خصوصی برای آموزش بحث اصول کار مجازی در حالت دینامیکی در تحلیل سازه ها (EQUIVALENCE IN THE PRINCIPLE OF VIRTUAL WORK IN DYNAMICS) نیازمندم. در صورت امکان بهم اطلاع بدهید. ممنون

مشاوران این تخصص

کاربران

اشتراک در RSS - اصل کار مجازی، Principle of Virtual Work